Boa tarde!
Preciso aqui de um auxilio:
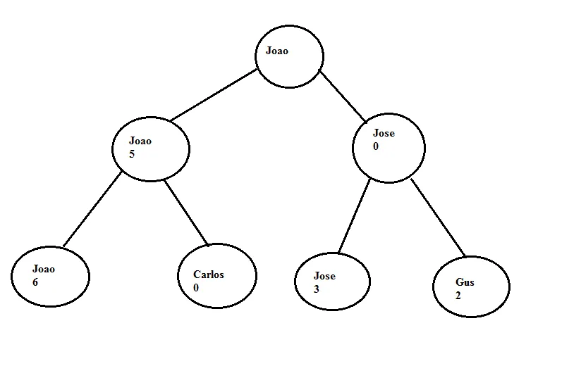
Imaginando um torneio de tenis representado numa arvore binaria.
Como podem ver pela imagem o Joao ganhou 6-0 ao Carlos, O Jose 3-2 ao Gus e assim sucessivamente.
Estou a tentar desenvolver uma função que me retorne o maio elemento na árvore. Não sei o que estou a fazer mal pois retorna sempre 0 <img src="https://cdn.jsdelivr.net/gh/twitter/twemoji@14/assets/72x72/c.pngonfused.png?v=9" title=":confused:" class="emoji" alt=":confused:"> Agradeço uma ajudinha!
typedef struct _PLAYER
{
char name[MAX_NAME];
int sets;
}PLAYER;
typedef struct _BTREE_NODE
{
void * data;
struct _BTREE_NODE * left;
struct _BTREE_NODE * right;
} BTREE_NODE;
typedef BTREE_NODE * BTREE;
int Maximo(BTREE btree)
{
int max=0;
if (btree != NULL)
{
Maximo(LEFT(btree));
if (((PLAYER*)DATA(btree))->sets > max)
max = ((PLAYER*)DATA(btree)) ->sets;
Maximo(RIGHT(btree));
}
return max;
}
