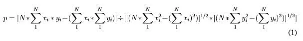
Estou tendo uma dificuldade da hora de montar a fórmula de Pearson. Na verdade, eu montei tudo direitinho e testei com 2 valores para x e 2 valores para y e fiz print de cada valor. Eles bateram com os resultados da calculadora, mas na hora da fórmula, ou seja, na hora de mostrar o coeficiente p, se encontra um valor complexo.

CÓDIGO:
nome = input("Olá usuário, por gentileza, informe seu nome: ")
print(f"Seja bem vindo(a) {nome}! Vamos calcular o coeficiente de correlação linear de Pearson! ")
N=int(input("Me informe, por gentileza, a quantidade de números que serão digitados para x e y: "))
print(f"Certo, {nome}, você irá digitar {N} números. Vamos começar! ")
contador=1
somaa = 0
b=0
c=0
d=0
e=0
f=0
g=0
while N>=contador:
x = float(input("Digite um valor para x: "))
y = float(input("Digite um valor para Y: "))
# Primeiro termo de p
a=x*y
somaa+=a
# Segundo termo de p
# Soma de x
b+=x
# Soma de y
c+=y
multiplicacaobc=b*c
# Terceiro termo de p
d+=(x**2)
e=b**2
somade=d-e
# Quarto termo de p
f+=(y**2)
g=c**2
somafg=f-g
contador += 1
p=((N*somaa)-(multiplicacaobc))/(((N*somade)**(1/2))*((N*somafg)**(1/2)))
print(f"Prezado {nome}, o coeficiente de correção linear de Pearson pra os valores informados é {p:.2f}")
Desde já, muito obrigado!

